If you're over 24 years of age you've already reached your peak in terms of your cognitive motor performance, according to a new paper.
Simon Fraser University doctoral student Joe Thompson, associate professor Mark Blair, Thompson's thesis supervisor, and Andrew Henrey, a statistics and actuarial science doctoral student say this in one of the first social science experiments to rest on big data and they tested when we start to experience an age-related decline in our cognitive motor skills and how we compensate for that by analyzing the digital performance records of 3,305 StarCraft 2 players, aged 16 to 44. StarCraft 2 is a competitive intergalactic computer war game that players sometimes play for money.
Their performance records, which can be readily replayed, constitute big data because they represent thousands of hours worth of strategic real-time cognitive-based moves performed at varied skill levels.
Using statistical modeling, the researchers distilled meaning from this colossal compilation of information about how players responded to their opponents and more importantly, how long they took to react.

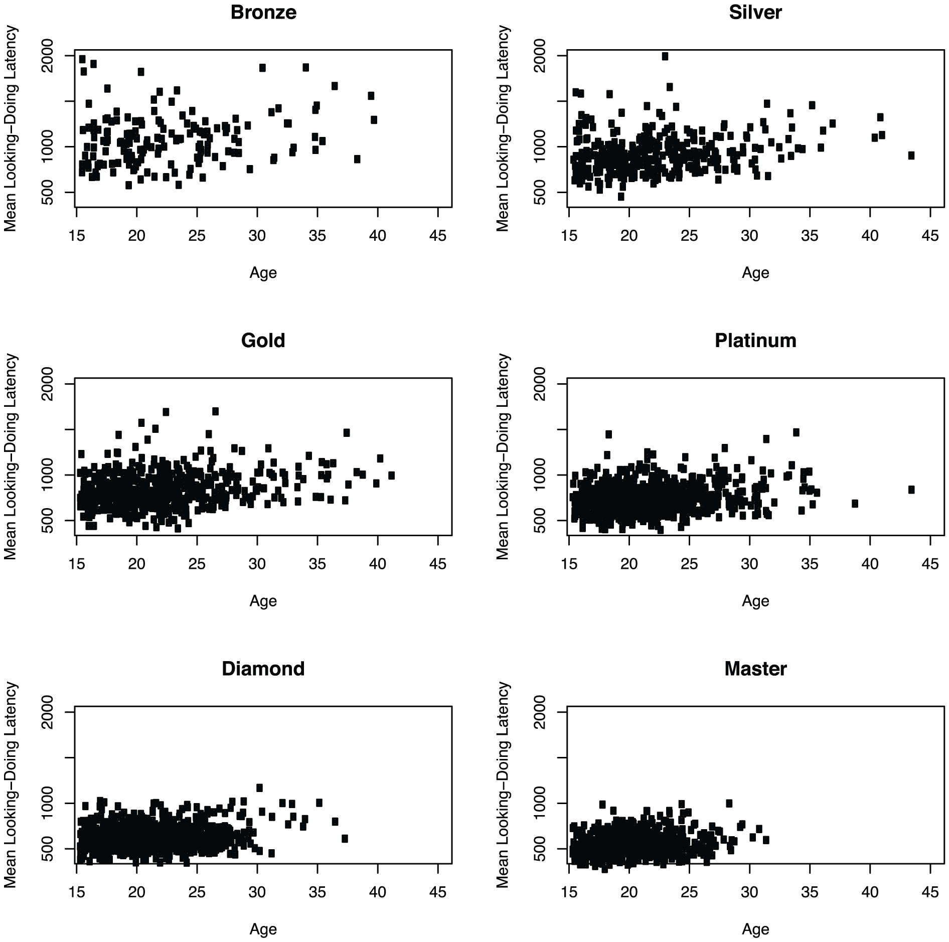
Scatter plots of age and looking-doing latency by league. Credit: doi:10.1371/journal.pone.0094215
"After around 24 years of age, players show slowing in a measure of cognitive speed that is known to be important for performance," explains Thompson, the lead author of the study, which is his thesis. "This cognitive performance decline is present even at higher levels of skill."
But there's a silver lining in this earlier-than-expected slippery slope into old age. "Our research tells a new story about human development," says Thompson.
"Older players, though slower, seem to compensate by employing simpler strategies and using the game's interface more efficiently than younger players, enabling them to retain their skill, despite cognitive motor-speed loss."
For example, older players more readily use short cut and sophisticated command keys to compensate for declining speed in executing real time decisions.
The findings, says Thompson, suggest "that our cognitive-motor capacities are not stable across our adulthood, but are constantly in flux, and that our day-to-day performance is a result of the constant interplay between change and adaptation."
Thompson says this study doesn't inform us about how our increasingly distracting computerized world may ultimately affect our use of adaptive behaviours to compensate for declining cognitive motor skills.
But he does say our increasingly digitized world is providing a growing wealth of big data that will be a goldmine for future social science studies such as this one.





Comments