This was a statistical analysis, so only EXPLORATORY, but they correlate more restrictive alcohol laws with a reduction in specific states’ homicide rates. The authors at RAND used the Alcohol Policy Scale index, which measures state-year alcohol policy environments, higher is more social authoritarian, lower is more freedom, plus vital deaths data (total homicides, total suicides, firearm homicides, and firearm suicides) drawn from the National Vital Statistics System.
They had to estimate the association between changes in a state’s Alcohol Policy Scale score and changes in its homicide and suicide rates using data from 2002 to 2018 using a Bayes statistical model which they hope reduces bias in estimating the effects of policy changes on state-level rate outcomes compared to conventional approaches.

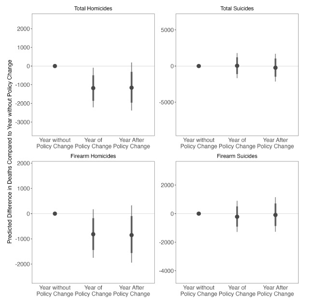
From the paper: Points represent predicted change in the number of deaths nationally in 2018 after a hypothetical shift in alcohol policy environment applied to all states. The magnitude of this shift is equivalent to moving from the 25th percentile (less restrictive) to 75th percentile (more restrictive) of APS scores in 2018. Thicker lines represent 80% Bayesian credible interval. Thinner lines represent 95% credible intervals. The light horizontal line represents no change in deaths after a policy change.
Their simulation concluded that a nationwide increase in alcohol restrictions whlch would be equivalent to a shift from the 25th to 75th percentile of the APS score could mean 1,200 fewer homicides annually. How they know that is unclear, since few murderered people or suicides get tested for blood alcohol content. To get an idea, they relied on a meta-analysis, which is a technique that has become increasingly controversial due to people with an agenda hand-picking the studies used for selection, the same way a meta-analysis of astrology papers would determine the constellations at the time of your birth dictated your personality. Though there is known race and gender difference (400% greater for men) in both homicides and suicides the model did not account for that, which is like using the risk of a shark attack in Montana to create population data knowing it will incorrectly skew the risk of a shark attack in Australia.
So the numbers don't add up, nor can the conclusion. California allows alcohol purchases in grocery stores while Pennsylvania only allows liquor to be purchased in stores the state control. Yet the risk per 100,000 was 30% greater in Pennsylvania in 2021, the same year as the RAND analysis.

Despite "suggesting" that more government control is the answer to suicides by Alaskan and Native American men they then write "there is relatively small association between APS and suicides, data limitations preclude conclusions about whether stricter alcohol policy environments produce large reductions in alcohol-involved suicides specifically."
Sorry, centralized government proponents, it doesn't seem like more taxes leads to lower suicide after all. The paper is more of a corporate media attention-grab than an informed policy discussion.





Comments