An unknown physiologic mechanism of evolutionary biology has been the ability of mammals to manipulate the sex ratios of their offspring as part of a highly adaptive evolutionary strategy. A new paper analyzing 90 years of breeding records from the San Diego Zoo says that mammalian species can "choose" the sex of their offspring in order to beat the odds and produce extra grandchildren.
The scientists assembled three-generation pedigrees of more than 2,300 animals and found that grandmothers and grandfathers were able to strategically choose to give birth to sons, if those sons would be high-quality and in turn reward them with more grandchildren. The process is believed to be largely controlled by the females, said Joseph Garner, PhD, associate professor of comparative medicine at Stanford University School of Medicine and senior author of the study. The results applied across 198 different species.
The paper supports a hypothesis first proposed in a 1973 paper by scientists - who would come to be called evolutionary sociobiologists - Robert Trivers and Dan Willard. They disagreed that sex determination in mammals is random, with parents investing equally in their offspring to generate a 50-50 sex ratio in the population. Instead, they hypothesized that mammals are selfish creatures, manipulating the sex of their offspring in order to maximize their own reproductive success. Thus, parents in good condition, based on health, size, dominance or other traits, would invest more in producing sons, whose inherited strength and bulk could help them better compete in the mating market and give them greater opportunities to produce more offspring. Conversely, mothers in poor condition would likely play it safe, producing more daughters, whose productivity is physiologically limited.
Other hypotheses make similar predictions — that females who choose mates with particularly "good genes" (e.g. for attractiveness) should produce so called "sexy sons" as a result, Garner said.
"This is one of the holy grails of modern evolutionary biology — finding the data which definitively show that when females choose the sex of their offspring, they are doing so strategically to produce more grandchildren," said Garner. "You can think of this as being girl power at work in the animal kingdom. We like to think of reproduction as being all about the males competing for females, with females dutifully picking the winner. But in reality females have much more invested than males, and they are making highly strategic decisions about their reproduction based on the environment, their condition and the quality of their mate. Amazingly, the female is somehow picking the sperm that will produce the sex that will serve her interests the most: The sperm are really just pawns in a game that plays out over generations."
The hypothesis was also supported in 1984 in a Nature paper by T.H. Clutton-Brock at the University of Cambridge, who found that among wild red deer, dominant mothers produced significantly more sons than deer who held a subordinate position within the herd.
"This paper was a huge leap forward, providing the first suggestion that the idea might work in mammals," Garner said. "But because it relied on data from only two generations, it couldn't show whether females that produced more sons also gained more grandchildren from those sons."
This key prediction of the hypothesis remained untested, because complete three-generation pedigrees are so hard to obtain in the wild, Garner said.
So Garner and colleagues reconstructed three-generation pedigrees of multiple species. They turned to the San Diego Zoo, enlisting the help of animal-care supervisor Greg Vicino in combing through decades of records on more than 38,000 animals from 678 species. The project was labor-intensive, requiring years of work to reconstruct the pedigrees and breeding histories of the animals.
The researchers ended up with a pool of 1,627 granddams (female grandparents) and 703 grandsires (male grandparents) for whom they had a complete record of three generations. Major mammal groups were represented, including primates; carnivores, such as lions, bears and wolves; cloven-hoofed animals, such as cows, buffalo and deer; and odd-toed grazing animals, such as horses and rhinos.
They found that when females produced mostly sons, those sons had 2.7 times more children per capita than those whose mothers bore equal numbers of male and female offspring.

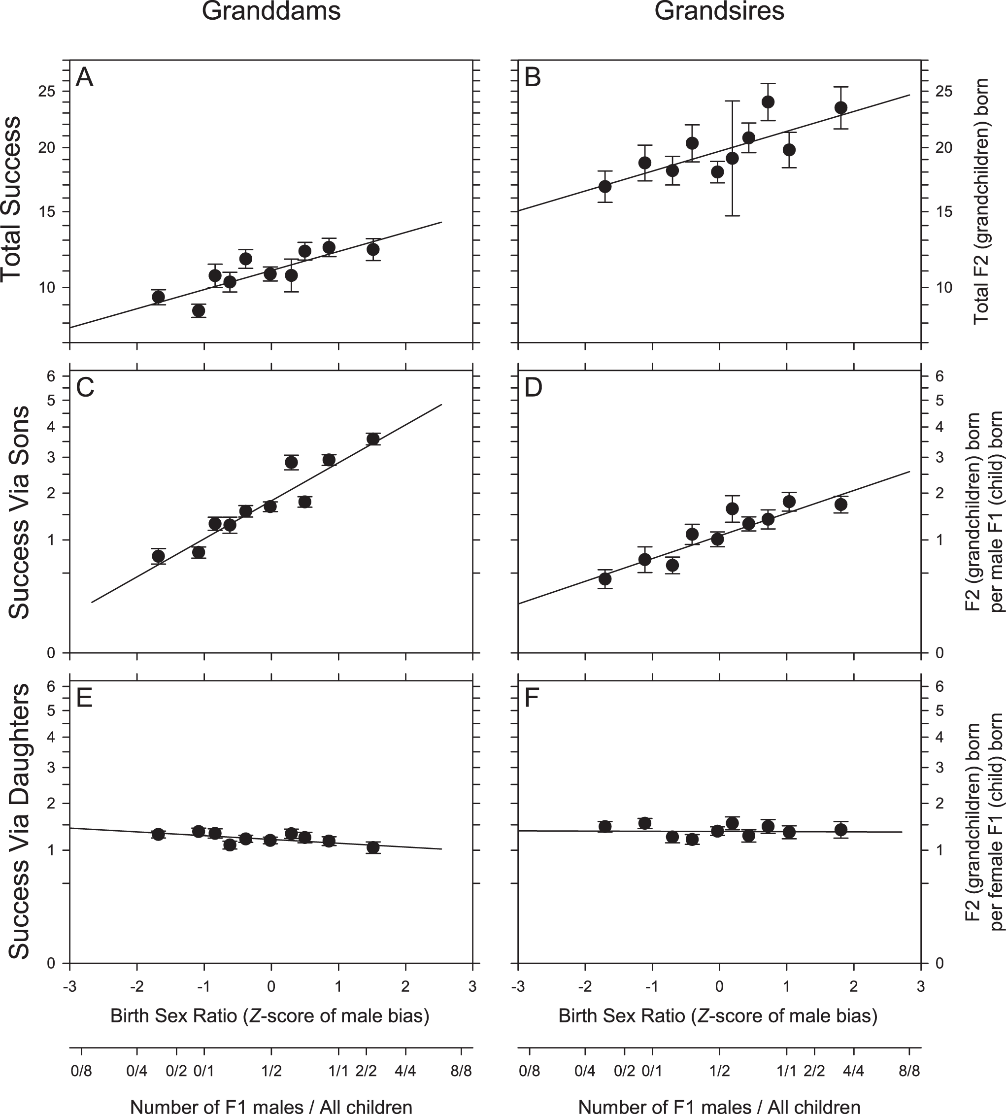
Grandparents who bias the sex of the offspring, have more successful offspring, gaining more grandchildren. A) Granddams and B) grandsires who biased birth SR towards males had greater total success measured as total grandchildren produced (P<0.0001; P = 0.0108, respectively). Birth SR is shown as a Z-score, to control for number of F1 offspring (the X-axes also give examples of male biases for a given Z-score). C) Granddams, and D) grandsires, who biased birth SR towards males had greater success specifically via F1 males (for both, P<0.0001). E) Granddams who biased birth SR towards females had greater success specifically via F1 females (P = 0.0272), but no effects were found for female-biasing grandsires (P = 0.9426), (nor did they have more total grandchildren overall; see text). For clearer data visualization, the data were split into 10th percentiles by Z-score, and plotted values are least-squares means and standard errors within those percentiles. The solid line indicates the least-squares regression line partialled for the controlling variables. In A and B, the Y-axes shows F0 success as total grandchildren born. In C–F, granddam and grandsire success is shown as the grandchildren (F2) born per each of their F1offspring born of a given sex (i.e. the mean reproductive output of the F1 children of each sex). doi:10.1371/journal.pone.0067867
"The question is, within each species, among females who had more sons, did those sons do better in terms of producing more grandchildren per capita? And the answer is yes," Garner said. "Females are choosing and being very Machiavellian about it. They're doing it for their own benefit."
The same was true of grandsires, with the researchers showing that when grandfathers produced mostly sons, those sons on average had 2.4 times more children per capita.
"A grandfather producing more male offspring also has more success. But that could be entirely determined by the female," as she may be deciding the sex ratio to produce based on the quality of the male, Garner said.
He compared the mating gambit to a kind of gambling game. "I'm gambling on how many grandchildren I'm going to produce. If I'm producing nothing but daughters, I'm making a safe bet — I'm going to make the average."
Sons, on the other hand, are a "high-risk, high-reward bet." If an animal produces a fertile, high-quality son, in effect it has hit the jackpot in terms of reproductive potential.
"Think about lions," Garner said. "Most male lions don't reproduce. There may be 10 or 15 females but only one male that fathers everybody. The same is true with baboons. There is one alpha male. If you are the parent of that harem-holding male, then you have hit the genetic jackpot because he might produce tens or hundreds of offspring. If you have a bachelor male, who never produces offspring, he produces zero. So males are a high-risk, high-payoff bet. Who would take the bet unless they knew they could rig it?"
But how, in fact, do parents manipulate the sex of their offspring? Garner said the mechanism isn't really known, though one theory holds that females can control the "male" and "female" sperm, which have different shapes, as they move through the mucous in the reproductive tract, selectively slowing down or speeding up the sperm they want to select. There are some notable examples of sex-ratio manipulation in the insect world; for instance, yellow dung flies, who engage in an elaborate mating game, collect sperm from different mates and then selectively choose the "best" sperm for the environmental conditions (dung) of each clutch of eggs laid, he said.
Garner said there may be some parallels among humans, with some studies suggesting that they may be able to adjust their sex-ratios in response to social cues. For instance, in polygamous societies, the top-ranking wife is much more likely to have a son than the lower-ranking wife (the son holds the economic power in the family). And a study of 400 U.S. billionaires, published in 2013, found that they were more likely to have sons than daughters — presumably, the scientists hypothesized, because sons tend to retain the family's wealth.
Garner's personal favorite is a study published in 1988. It found that mothers with an inherited speech disorder had three times as many sons as daughters, in theory because a son with a speech impediment would have an easier time finding a mate than a speech-impaired daughter, whose success is more dependent on speech and social skills, Garner said.
Garner said their study emphasizes the huge research potential of zoo data. "The temptation might be to assume that data from captive animals in the zoo has inherent problems," he said. For instance, zoo animals are subject to managed breeding, with less opportunity to select mates. Moreover, females in the wild rely on environmental cues to tell them to produce sons or daughters, but these cues may be misleading among animals in captivity, he said.
"You would think that all of these conditions would hide the result, so the fact that females can still manipulate their sex ratio to produce an advantage despite the zoo environment makes the data even more convincing," Garner said. In fact, the study raises a concern that captive populations may be under threat, as the disproportionate success of certain individuals means that genetic variability is lost from the population faster than expected, the researchers note.
Lack of genetic diversity can promote inbreeding-related health problems and a population's overall vulnerability to diseases and parasites. A better understanding of sex-ratio manipulation in captive animals could help lead to interventions that would help preserve the species, they conclude.
Citation: Collette M. Thogerson, Colleen M. Brady, Richard D. Howard, Georgia J. Mason, Edmond A. Pajor, Greg A. Vicino, Joseph P. Garner, 'Winning the Genetic Lottery: Biasing Birth Sex Ratio Results in More Grandchildren', PLoS ONE 8(7): e67867. doi:10.1371/journal.pone.0067867





Comments