On Thursday I was walking toward the kitchen to get my 11th coffee of the day when I passed two fellows talking in the hallway. "No, the cost to run it is $3 million a day," says one. "That's ..."
I kept walking.
"That's ..."
I couldn't take it any more. "$1,095,000 per year," I blurted out and kept going. When I came back they laughed and said, "Don't be doing that driveby math stuff with us, mister science guy."
Sure, they can laugh. I can't help it.
You see, I am a numbers junkie.
But before you start laughing too, here is an alarming statistic for you: Over 90% of all American teenagers claim to have done math in the last week. Now, that's not so bad, you might think, as long as they do it in moderation, but some of them will go on to do it in college, others will even create their own math labs after that.
The big problem is no one knows how serious it is. We know, for example, that 9 % of American children are pathologically addicted to computer gaming and we know 16 million Americans are addicted to sex. Ummmm, 16 million and 1.
Ironically, the number of math addicts lacks any quantification at all, even by math addicts.
Is it dangerous? Sure. Have you ever seen a mathematician with a girlfriend, much less a wife? And the mortality rate for mathematicians is 100%. I looked it up on the Internet.
Math addiction is nothing new so I am surprised it hasn't been addressed before now. So I looked into that also and found it may be because math, and numbers, have wormed their way though history as part of a secret society. And numerologists may have started it.
Numerology - math's crazy uncle
Numerology is primarily for people who like numbers yet can't do math but don't want to be labelled as astrology kooks. It's interesting stuff, in the same way I can watch Discovery Channel even though it's their 500th program on the Shroud of Turin but, like the Discovery Channel, I never take it too seriously.
Numerology basically makes a relationship between numbers and physical objects, like money and Madonna in Kabbalah. Numerology today has mostly been conscripted by occult people so don't be surprised if you start asking around about it and women with a lot of cats want to talk to you. F.Y.I., witches today do not look like Samantha on "Bewitched".

Don't be fooled! The occult woman you meet will not look like this.
Religious people are nervous about numerology and runaway culture and perhaps not without cause, if you follow the numbers. In ancient Jewish Gematria, for example, a 6 corresponds to a W. Since you arrived here using a WWW address that means ...
... yep. 666. If you use the Internet you may totally be a pawn of Lucifer.
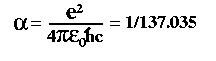
But it hasn't always been inhabited by kooks. No less an acclaimed scientist than Wolfgang Pauli was fascinated by the number 137 in physics, most notable to modern physicists because it is the 'fine-structure constant' in electromagnetics:

e being the charge on the electron, c being the speed of light, h-bar being Planck's constant and the epsilon being the permittivity of free space. Each of these constants have their own dimensions but the fine-structure constant is completely dimensionless. Baffling!
And what does the very word 'Kabbalah' add up to in numerology? Why, 137. Spooky.
Stock market analysts? Numerologists, you can be sure.
It's not without its science proponents too. Sir Thomas Browne used Pythagorean numerology to find the number five throughout botany.
Some in religious circles have called 888 the "Jesus Number" because the name 'Jesus' adds up to 888 in Gematria and 888 is both a Harshad number (an integer that is divisible by the sum of its digits when written in that base) and the sum of eight consecutive primes (97 + 101 + 103 + 107 + 109 + 113 + 127 + 131), which makes it interesting to mathematicians who need a reason to go to church.
Is there anything to numerology? No, though I guess we can never say never. In an infinite set of numbers with thousands of years of history and language people can find coincidence that is interesting to think about. Some people also watch that "Jon&Kate Plus 8" reality show so some clearly have plenty of time to ponder the mysteries of the universe if they are inclined.
Or how the universe will end. The Mayans have a calendar whose numerology leads people to believe the world will be destroyed in December 2012, for example. They had three calendars so why that one means something is up to speculation but maybe the number three has significance we have not discovered yet. Of course, 3 is the Christian trinity too so maybe that has something to do with Mayans. The mystery deepens.
Not everyone likes numbers the way I (and probably you, if you read this far) do. Some people are downright afraid of them. If you know someone like that, tell them they have Numerophobia.
And if you need an excuse to dislike numbers but are too proud to say you're afraid of them, you can always claim to be Allergic To Math. Enjoy the somewhat odd spoken word version (press little arrow for play controls)of Allergic to Math here.
***************
On Friday, I saw one of the same fellows again and he blurted out, "What's 267 x5?"
"1335," I replied and kept read walking.
Sheesh, people. At least make me work for it.
NOTES:
(*) I live near a prison yet it's not even remotely dangerous here. The words 'maximum security' tend to keep the bad guys away. Fun thing to do while there - walk as close as you can to one of the buildings, cup your hands to your mouth, and yell, "Come out with your hands up. We know you're in there!" I bet no one has ever done that before.





Comments