In this equation, it's probably pretty obvious what you should do. But is your life ruled by should? Do you gimp through your week yessir-ing and nomam-ing and cowtowing to avoid punishment? Okay, so do most of us—but here's your chance to break the mold and stike a blow for the proletariat (viva la revolucion...). And at least if you get caught blowing off the rest of the day in favor of a four-hour, three-martini, expense account lunch at the pub, you can blame the numbers.
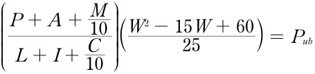
Should I order a sandwich at my desk or head to the bar on the corner for a blowout lunch?
-
P= Level of peer pressure (1-10 with 10 being “buddy’s last day before moving to Antarctica”)
-
L= How much do you like your job? (1-10 with 10 being “Ambassador to Italy”)
-
A= On a scale of 1-10, your level of irrational attachment to the idea of fried food, Guinness at noon, and/or sticking one to your boss
-
I= Importance of today’s work (1-10 with 10 being “brokering Mid-East peace talks”)
-
M= Cash available (enter max of $100)
-
C= The percentage that you would get caught
-
W= How many additional hours of work do you really need to do today?
If Pub is greater than one, give in to your Id and tell the boss you’re crisis managing on-site for the afternoon.
Note: Most variables act in the manner you would expect, the exception being W. With little work, you will be likely to go to the pub (of course), but the same outcome is true of extreme amounts of work—All work and no play makes you increasingly likely to go Jack Nicholsen in the Shining, flipping your lid and heading directly for the nearest pub.





Comments