I originally wrote this equation for an interview on the PRI radio program Fair Game, but we got to chatting and ran out of time, so I thought I'd blog it as well.
Let me first say that I think it would be a lot of fun to invade Trinidad. While I mean no disrespect to Trinidad, I'm fairly certain it would not be an overly cumbersome task for the U.S. military (even extended as they are).
And the exit strategy would be obvious: after Carnival, we come home. We could make it a yearly event — invade Trinidad, party for a couple weeks, and then bring the troops home.
Talk about a morale booster! And not just military morale — the entire country could ride the wave of patriotic fervor, immediate military success, scenes of troops partying with the locals, and then ticker-tape parades when the troops return to the grateful nation.
I'm afraid, though, this good-natured drubbing of a small Caribbean party island is unlikely in the current political climate. At least historically, we have chosen not to invade countries like Trinidad. And notice the equation is not "Should" we invade country X, but "Will" we invade.
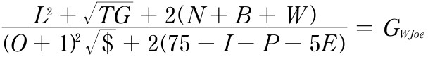
Unfortunately, this "will" necessitates taking into account not only my personal bent toward invasion to the soundtrack of steel drums and camouflage that includes rasta wigs, but also the historical record of who we have and have not actually invaded, and why we chose these countries over others. Granted this equation is a bit shoot-from-the-hip, but the results are spooky (see below).

L= In the past twenty years, how implicated in the loss of American lives has this country been? (1-10 with 10 being Afghanistan and 1 being Switzerland)
T= How totalitarian is the government (1-10 with 1 being Finland and 10 being North Korea)
G= In thousands, the Google hits when searching “sanctions against [country]”
N= In your opinion, the president’s opinion of this country’s overall WMD scariness (1-10 with 1 being Vatican City and 10 being Iran)
B= Enter 10 if this country is on the U.S. State Department’s list of states that sponsor terrorism
W= Enter 5 if there is a travel warning against this country
E= In millions, the barrels per day of oil exports
I= How important is this country to the stability of the region (1-10 with 10 being China, Russia, etc.)
P= Percentage of the population below the poverty line (if not in CIA fact book, enter 20)
$= In billions, the country’s GDP
O= Add the following: 5 if this country is a NATO member; 5 if it is in the EU; 2 if it is in the WTO; 10 if it is on the NATO Security Council.
If GwJoe is greater than 1, we will invade the country in question.
Data and Results (yes, some of the 1-10 variables are my subjective opinion):

As you can see (or maybe you can't 'cause it's so small — sorry), this correctly predicts invasion of Iraq and Afghanistan, with the only surprise being that we will also invade Haiti (driven by the extreme poverty). Also, Iran is quite close at .945, as is Sudan at .907. This equation also successfully predicts (retroactively) the invasions of Cuba, Bosnia, and Somalia.





Comments