In 1963, Roy Kerr's hypothesis was of a "clean" black hole model and that remains the dominant paradigm. From theory to reality things may be quite different, black holes may be much "dirtier" than what Kerr believed, the authors write.
According to the now-traditional model, black holes are defined by only two quantities: mass and angular momentum (a black hole rotation velocity). Once their progenitor has collapsed (a high mass star, for instance, that at the end of its life cycle implodes inwards) its memory is lost forever. All that is left is a quiescent black hole, with almost no distinctive features: all black holes, mass and angular momentum aside, look almost the same.
A new paper hypothesizes that what physicist John Wheeler once said, "black holes have no hair" - meaning that mass and angular momentum are all one needs to describe them - might not be true.

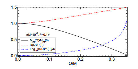
The internal mass, Mint ≡ M − C/2, shell radius R and Kretschmann scalar K = RabcdRabcd at the horizon for a hairy BH as function of the scalar charge Q, normalized by their value in GR, Q = 0. Credit:arXiv:1308.6587
According to co-author of a new paper, Thomas Sotiriou, a physicist of the International School for Advanced Studies (SISSA) of Trieste , things may not have occurred this way. "Black holes, according to our calculations, may have hair. Although Kerr's 'bald' model is consistent with General Relativity, it might not be consistent with some well-known extensions of Einstein's theory, called tensor-scalar theories. This is why we have carried out a series of new calculations that enabled us to focus on the matter that normally surrounds realistic black holes, those observed by astrophysicists.
This matter forces the pure and simple black hole hypothesized by Kerr to develop a new 'charge' (the hair, as we call it) which anchors it to the surrounding matter, and probably to the entire Universe. According to our calculations, the growth of the black hole's hair is accompanied by the emission of distinctive gravitational waves. In the future, the recordings by the instrument may challenge Kerr's model and broaden our knowledge of the origins of gravity."
Preprint: Vitor Cardoso, Isabella P. Carucci, Paolo Pani, Thomas P. Sotiriou, 'Black holes with surrounding matter in scalar-tensor theories', arXiv:1308.6587
Citation: Vitor Cardoso, Isabella P. Carucci, Paolo Pani, and Thomas P. Sotiriou, 'Black Holes with Surrounding Matter in Scalar-Tensor Theories', Phys. Rev. Lett. 111, 111101 (2013) [5 pages] DOI: 10.1103/PhysRevLett.111.111101





Comments