Age does a lot of things to us. And to our brains, which shrink when we grow older. Those incredibly complex neural networks inside our skulls not only shrink, but they also become more susceptible to scourges such as dementia and Alzheimer’s disease. People who do not suffer from these cognitive dysfunctions, also show aging effects in their brains, such as the accumulation of amyloid-beta plaques.
To trace the evolutionary roots of the aging brain, researchers have previously investigated whether similar effects occur in the brains of rhesus monkeys (which diverged from the ‘human lineage’ about 30 million years ago). These primates showed only very limited effects of age in their brains. So, the mystery remained.
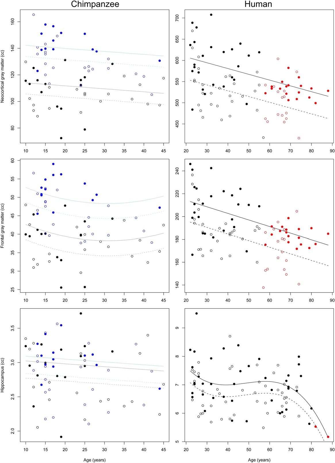
Now, a study published in PNAS went looking for signs of brain aging in our closest relatives, chimpanzees (which diverged from humans roughly 5 – 7 million years ago). With the help of MRI scans, the researchers checked several brain regions in both chimps and humans. Remarkably, our evolutionary cousins showed no signs of aging in any of the regions under investigation. Human beings however, showed declines in all regions, sometimes even up to 25% of shrinkage. It was also noticed that gray matter (nerve cell bodies and auxiliary cells) declined a little less (13 – 14%) than white matter (myelinateaxons, up to 25%). Further, gray matter showed a gradual decline (see figure 1), starting as early as at 30 years of age. White matter on the other hand, declined greatly between ages 70 and 80 (see figure 2).

Figure 1: The decline in gray matter areas (from top to bottom: neocortical, frontal and hippocampus) in chimpanzees and humans.
(Source: Sherwood et al., 2011)

Figure 2: The decline in white matter (top: neocortical, bottom: frontal) in humans and chimpanzees.
(Source; Sherwood et al., 2011)
So, why do we have shrinking brains, while our close primate relatives don’t?
Well, that question is still open. But there are some ideas.
Our brains are really big and use a lot of energy. Where our brains use approximately 25% of our total available energy, chimp brains get by on 10%. Perhaps this high energy expenditure affects our brains on cellular and molecular levels? Oxidative stress and declining efficiency of mitochondria (aka the cell’s powerhouses) might (partly?) explain the inevitable decline of our brains.
We also live quite long in comparison to our primate relatives. Coupled with the high energy expenditure, wear and tear is bound to wreak havoc in our big centers of cognition. Checking the effects of brain aging on other long-living species (elephants, giant tortoises) might elucidate some matters?
Reference
Sherwood, C.C.; Gordon, A.D.; Allen, J.S.; Phillips, K.A.; Erwin, J.M.; Hof, P.R. and Hopkins, W.D. (2011). Aging of the cerebral cortex differs between humans and chimpanzees. Proceedings of the National Academy of Sciences. Published online before print, July 25. doi:10.1073/pnas.1016709108.





Comments