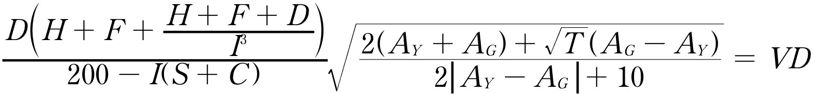
Man-O-Meter
Which date should I accept this Valentine’s Day?

• H= How hot is the guy? (1-10 with 10 being “magma”)
• F= How fun is he? (1-10 with 10 being “Pee Wee’s Big Adventure”)
• S= How stable is he? (1-10 with 10 being “the pyramids at Giza” and 1 being “the Leaning Tower of Pisa”)
• C= How compatible are you with him (education, life goals, etc.)—1-10 with 10 being “Bogey and Bacall”
• I= What are your intentions? (1-10 with 1 being “keep the Valentine’s blues away” and 10 being “for better or for worse”)
• AY= Your age
• AG= Guy’s age
• T= How traditional are you? (1-10 with 10 being “Little House on the Prairie” and 1 being “The Osbournes”)
VD stands for Valentine’s Date (of course) and is this guy’s score. Do the equation again and then go out with the guy who scores most.
What this equation says:
• Hot and funny are always good, but if your intentions are especially lascivious, these two variables (in conjunction with how fun is the proposed activity) pretty much drive the equation
• Compatible and stable are good, but only if your intentions go beyond Valentine’s Day
• Age similarity is good. As you both get older, this matters less. If you are quite traditional, it’s good if the guy is a bit older.





Comments