The hive mind is alive and well on Twitter.
Rather than being a participatory forum, an analysis of 290,119,348 tweets from 193,522 "politically engaged" Twitter users during the 2012 presidential campaign conventions and debates found little creative thinking. Instead, it was just retweeting "elites" like Bill Maher and Sean Hannity.
During live media events like the conventions and the debates, when the largest number of people are paying attention, people move away from deliberation and replaced existing interpersonal social dynamics with increased collective attention to existing 'stars.'"
"Frankly, we're rather disappointed," says Cornell University's Drew Margolin. "Social media has so much potential to improve the diversity of voices and quality of exchanges in political discussion by giving individuals the technological capability to compete with the mass media in disseminating information, setting agendas and framing conversation."
Liberal comedian Bill Maher was the most retweeted in three of the four candidate debates. On the Republican side, Sean Hannity and Karl Rove got many retweets. The social media tide of public discourse did not rise in the 2012 campaign, but a few stars' fortunes did.

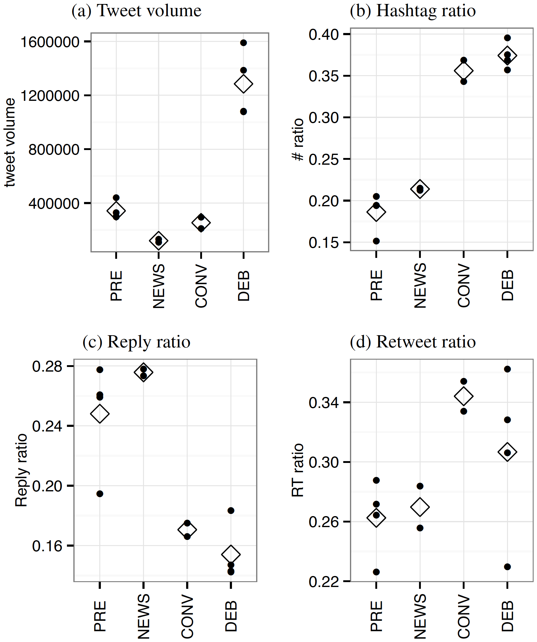
Changes in communication activity. Twitter activity volume change in different events. Diamond shapes indicate the mean value of each category (PRE: pre-debate baseline; NEWS: Benghazi attack and 47% controversy; CONV: Republican and Democratic Natl Conv; DEB: presidential debates). (a) The tweet volumes at the peak hour in the 12 events (including 4 null events). (b) The ratio of tweets with at least one hashtag to the total tweets at the peak hour. (c) The ratio of tweets replying to users to the total tweets at the peak hour. (d) The ratio of retweets to the total tweets at the peak hour. The results show an increase in topical communication (hashtag ratio) and a decrease in interpersonal communication (reply ratio) during the media events over the typical and news events.
doi:10.1371/journal.pone.0094093
The authors try to rationalize it: "The uncertainty of live events may predispose users to seek information from authorities and their expert sensemaking processes rather than from their peers."
Not that there's anything wrong with that … or is there?
"Combined with our findings about concentrated attention to elite voices and diminished use of interpersonal communication," the researchers wrote, "these factors could combine to create ideal conditions for rumor persistence, belief polarization and the dissemination of misinformation that can – intentionally or unintentionally – undermine deliberation."





Comments